- Ознакомиться и скачать ГОСТ 30245-2003 и ГОСТ 30245-94
- Производство труб квадратного профиля по ГОСТу
- Основные геометрические параметры изделия
- Размеры сторон и толщина стенки квадратной трубы
- Требования к длине трубы квадратного сечения
- Как разобраться в маркировке
- Эксплуатационные характеристики и сферы применения квадратных труб
- Особенности производства
- Что еще следует знать о стальных трубах квадратного сечения
Сварная квадратная труба, разнообразный сортамент которой позволяет подобрать изделие с требуемыми геометрическими параметрами, производится по требованиям, которые содержит ГОСТ 30245-2003. Заменяя устаревший ГОСТ 30245-94, этот нормативный документ определяет требования к сортаменту и геометрическим параметрам не только квадратных, но и профильных прямоугольных труб, также относящихся к категории сварных.
Труба стальная квадратного профиля
Ознакомиться и скачать ГОСТ 30245-2003 и ГОСТ 30245-94
Ознакомиться с содержанием документа государственного стандарта 30245-2003, регламентирующего основные параметры, нюансы изготовление и эксплуатации квадратных труб, а также скачать данный ГОСТ можно ниже.
ГОСТ 30245-2003
ГОСТ 30245-2003 Профили стальные гнутые замкнутые сварные квадратные и прямоугольные для строительных конструкций. Технические условия
Довольно часто, задавшись целью ознакомиться с сортаментом квадратных труб, люди ищут ГОСТ 30245-94, который на данный момент уже утратил актуальность в связи с тем, что на смену ему пришел более новый документ государственного стандарта. Но если все-таки есть желание сравнить их и выяснить, какие были внесены изменения, то данный ГОСТ можно бесплатно скачать ниже.
ГОСТ 30245-94 Профили стальные гнутые замкнутые сварные квадратные и прямоугольные для строительных конструкций. Технические условия
Производство труб квадратного профиля по ГОСТу
ГОСТ 30245-2003 является официальным нормативным документом, в котором оговариваются не только размеры квадратных труб, но и технологические особенности их производства. Естественно, что профильные трубы, которые произведены кустарным способом, категорически запрещено использовать в капитальном строительстве. Такие изделия чаще всего не соответствуют требованиям ГОСТа не только по геометрическим параметрам, но и по прочностным характеристикам. Кроме того, они не маркируются и не считаются товаром, допущенным к открытой продаже.
Линия по изготовлению профильных труб
Основные геометрические параметры изделия
Государственным стандартом оговаривается целый перечень геометрических параметров, которым должны соответствовать металлические профильные трубы, имеющие квадратное сечение. К таким параметрам относятся:
- h – размеры сторон или высота профиля;
- b – ширина профиля (данный параметр может отличаться от высоты, если труба имеет прямоугольное сечение);
- t – толщина стенки;
- R – радиус закругления (наружный), измеряемый в месте пересечения стенок.
Параметры поперечного сечения квадратных профилей по ГОСТу 30245-2003
В нормативном документе указано, что геометрические параметры профильных квадратных труб могут иметь отклонения, которые должны находиться в представленных ниже пределах.
По наружному радиусу закругления
- для изделий с толщиной стенки до 6 мм – 1,6t–2,4t;
- для изделий с толщиной стенки 6–10 мм – 2,0t–3,0t;
- для труб, толщина стенки которых больше 10 мм, – 2,4t–3,6t.
По высоте/ширине сторон стальной трубы
- для труб, высота / ширина сторон которых составляет 100 мм и менее, – от ±0,5 мм до ±1%;
- для изделий с размерами сторон, превышающими 100 мм, – ±0,8%.
По углу пересечения сторон трубы (900), измеряемому в поперечном сечении профиля
- ±1030´.
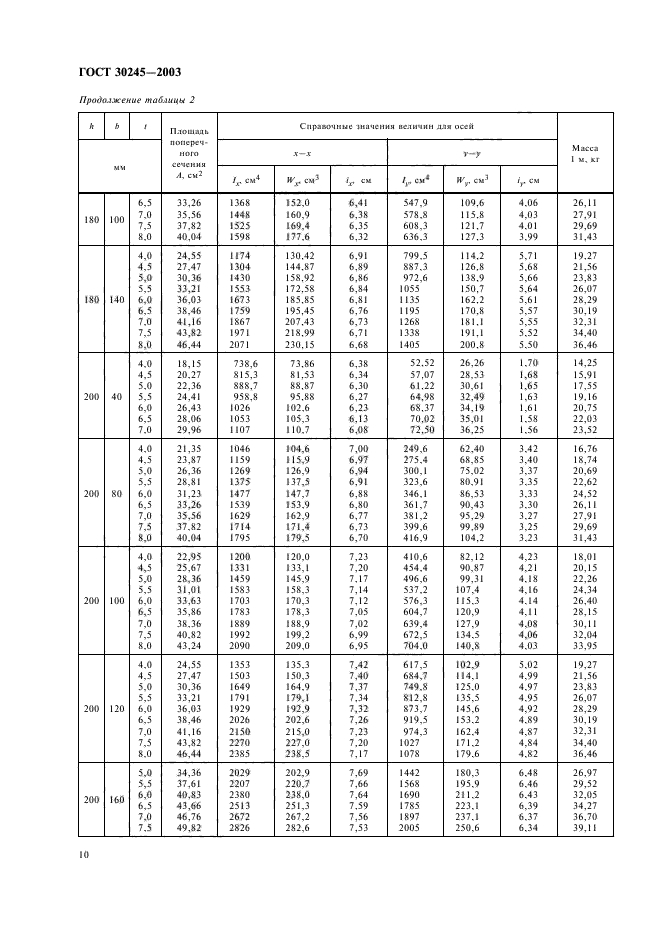
Размеры сторон и толщина стенки квадратной трубы
Согласно требованиям ГОСТа, размеры сторон профильных труб, имеющих квадратное сечение, могут варьироваться в интервале 50–300 мм. В сортаменте этой продукции каждому размеру профиля соответствует определенная толщина стенки: чем больше размеры сторон стальной квадратной трубы, тем с большей толщиной стенки (этот параметр варьируется в интервале 2–14 мм) они производятся.
Все параметры, которым должны соответствовать трубы квадратного сечения, приведены в таблице.
Основные параметры квадратных труб
Стальные профильные трубы, имеющие квадратное сечение, могут производиться не только по ГОСТу, но и по ТУ – это специально разработанные Технические условия. В соответствии с требованиями данного документа, утверждением которого занимается государственный нормирующий орган, трубы с квадратным профилем могут производиться в нестандартных размерах (длина, размеры стенок и их толщина). Такие изделия, в маркировке которых присутствует аббревиатура ТУ, производятся преимущественно по специальным заказам.
При рассмотрении и утверждении Технических условий государственный контролирующий орган оценивает степень безопасности продукции с нестандартными размерами, предусматривает ее обязательные испытания, а также определяет, возможен ли ее выпуск на оборудовании, которым оснащено предприятие.
Требования к длине трубы квадратного сечения
Стальные профильные трубы, имеющие квадратное сечение, в соответствии с требованиями нормативного документа, могут выпускаться немерной, мерной, а также кратной мерной длины. При выполнении нарезки следует придерживаться следующих требований, которые регламентирует ГОСТ.
- Длина нарезанных профильных изделий должна находиться в интервале 4–13 м.
- Наиболее распространенными длинами труб, отпускаемых со склада производителя, являются 6 и 12 метров.
- Изделия мерной и кратной мерной длины не должны иметь отклонения по ней более 60 мм.
- Длина труб, отпускаемых со склада производителя, определяется заказчиком, но она должна находиться в пределах, оговоренных в нормативном документе.
Длинные квадратные трубы
Как разобраться в маркировке
В маркировке стальных труб квадратного профиля, требования к которой также оговариваются в ГОСТе, отражаются следующие характеристики.
В верхней части маркировки (числитель):
- геометрические параметры продукции маркируемой партии (высота, ширина, толщина стенки);
- номер нормативного документа, в соответствии с которым производится изделие.
В нижней части маркировки (знаменатель):
- марка стали, из которой изготовлена профильная труба;
- номер нормативного документа, которому соответствует материал изготовления изделия.
Маркировка квадратных труб содержит информацию о параметрах изделия
В качестве примера рассмотрим, как маркируется профильная труба квадратного сечения с размерами сторон 100 мм и толщиной стенки 6 мм, изготовленная из стали С390К:
100х100х5 ГОСТ 30245-2003/С390К ГОСТ 2772-88.
Эксплуатационные характеристики и сферы применения квадратных труб
Эксплуатационные характеристики, которыми обладают стальные трубы с квадратным профилем, определяются как материалом их изготовления, так и особенностями их конструкции, которая представляет собой замкнутый профиль, сформированный из металлической полосы. В результате создается труба, обладающая незначительным весом, но способная выдерживать значительные нагрузки на изгиб и кручение. Требования к ее прочностным характеристикам, а также методы испытаний, при помощи которых они контролируются, также оговорены в ГОСТе.
Профильные трубы часто используются в несущих каркасах различных сооружений
Благодаря исключительным прочностным характеристикам, незначительному весу и технологичности профильные металлические трубы с квадратным сечением нашли широкое применение во многих отраслях человеческой деятельности. Так, эти изделия наиболее активно используются при:
- возведении строений различного назначения (из таких труб монтируются облегченные несущие конструкции для складов, магазинов, теплиц, зимних садов, ферм, навесов и др.);
- реконструкции строительных объектов (с помощью квадратных стальных труб создаются каркасы кровельных конструкций и перекрытий, входных групп и др.);
- производстве мебели (шкафов, стеллажей, полок, столов, стульев и др.);
- производстве различных механизмов и устройств в машиностроении;
- создании и монтаже рекламных конструкций.
В отличие от труб круглого сечения, которые при воздействии значительных изгибающих нагрузок могут не только согнуться, но и разрушиться, изделия с квадратным профилем при таком же значении и направлении нагрузки только изгибаются, а при ее снятии возвращаются в первоначальное состояние.
Выбирая трубу квадратного профиля для решения определенной задачи, необходимо предварительно произвести все необходимые расчеты. В результате станет понятно, изделие с какими геометрическими параметрами профиля будет в состоянии выдержать нагрузки, которые будут на него приходиться.
Особенности производства
Трубы с квадратным профилем, соответствующие требованиям ГОСТа 30245-2003, могут производиться из различных сортов листовой стали, к которым относятся:
- стали углеродистой группы общего назначения и низколегированных марок, выпускаемые с толщиной листа 3 мм по ГОСТу 27772;
- стали углеродистых марок общего назначения, производимые по ГОСТу 14637 (толщина листа 4 мм и более) и по ГОСТу 16523 (толщина листа 3 мм);
- углеродистые качественные стали марок 10, 15 и 20, выпускаемые по ГОСТу 1050;
- стали низколегированных марок, выпускаемые по ГОСТу 19281 (толщина листа 4 мм и более) и по ГОСТу 17066 (толщина листа 3 мм).
Подготовленные для транспортировки профильные трубы хранятся на складе завода
Производство стальных квадратных труб данной категории осуществляется в несколько этапов.
- Листовой прокат, изначально находящийся в рулонах, разматывают и нарезают на полосы требуемой ширины.
- Концы полученных полос свариваются для формирования длинной ленты.
- Стальная полоса подается на формовочный станок, где при помощи специальных вальцов из нее формируется изделие с квадратным профилем.
- Соединительный продольный шов, полученный в результате гибки, проваривается.
- Со сварного шва снимается грат (его высота не должна превышать 0,5–1 мм в зависимости от толщины стенки изделия).
- Осуществляется контроль качества сварного шва, а также поверхности полученной трубы. После устранения недостатков, если они выявлены, трубы нарезаются на отрезки требуемой длины и отправляются на упаковку.
Готовые трубы проходят проходят инструментальный контроль соответствия требованиям ГОСТа
Кроме вышеописанной технологии, стальные трубы с квадратной формой профиля могут производиться методом холодного и горячего деформирования.
Что еще следует знать о стальных трубах квадратного сечения
На каждую партию труб, отгружаемую со склада производственного предприятия, должны выдаваться сопроводительные документы, основным из которых является сертификат качества. В таком документе, заверенном штампом ОТК изготовителя продукции, должна содержаться следующая информация:
- наименование производителя и его торговая марка;
- данные о материале изготовления (марка стали и ее физико-химические свойства);
- объем партии (количество труб и их длина);
- номер партии;
- количество упаковок в партии товара;
- дополнительная информация о заказе;
- дата изготовления продукции.
Паспорт на профильную трубу должен содержать всю необходимую информацию
Для хранения и дальнейшей транспортировки трубы упаковываются в пачки, вес каждой из которых не должен превышать 10 тонн. Если трубы имеют длину 3 м и менее, то пачку с ними обвязывают в одном месте (посередине), если больше 3 метров – то в двух. Обвязка пачек труб должна обеспечивать не только компактность их хранения и транспортировки, но и возможность их подъема и перемещения с помощью механизированных устройств.
В ГОСТе 30245-2003 оговариваются не только требования к стальным трубам квадратного сечения, но и период, в течение которого они полностью сохраняют свои технические и эксплуатационные характеристики. Такой период, согласно указанному нормативному документу, составляет 2 года.
Естественно, стальные профильные трубы полностью сохранят все свои характеристики только в том случае, если при их производстве, хранении и транспортировке соблюдены все необходимые условия.









































